-
고양 덕은 삼정그린코아 더베스트 분양가 안내 | 청약 정보 | 센스뉴스#sensnews/부동산 2020. 11. 26. 16:56반응형

<고양 덕은 삼정그린코아 더베스트 분양 핵심 정보>
* 고양 덕은 삼정그린코아 더베스트 전매제한 : 당첨자 발표일로부터 8년 전매 제한
* 고양 덕은 삼정그린코아 더베스트 중도금 대출 : 분양가의 60%
* 고양 덕은 삼정그린코아 더베스트 계약금 : 10%
* 고양 덕은 삼정그린코아 더베스트 관련 규제 : 조정대상지역
* 고양 덕은 삼정그린코아 더베스트 입주예정일 : 2023년 7월
<고양 덕은 삼정그린코아 더베스트 분양 일정>
* 고양 덕은 삼정그린코아 더베스트 특별공급 : 12월 7일
* 고양 덕은 삼정그린코아 더베스트 1순위 청약 : 12월 8일
* 고양 덕은 삼정그린코아 더베스트 당첨자 발표 : 12월 17일

<고양 덕은 삼정그린코아 더베스트 분양 내역>
* 전체 366세대, 소규모 단지
* 중대형 위주

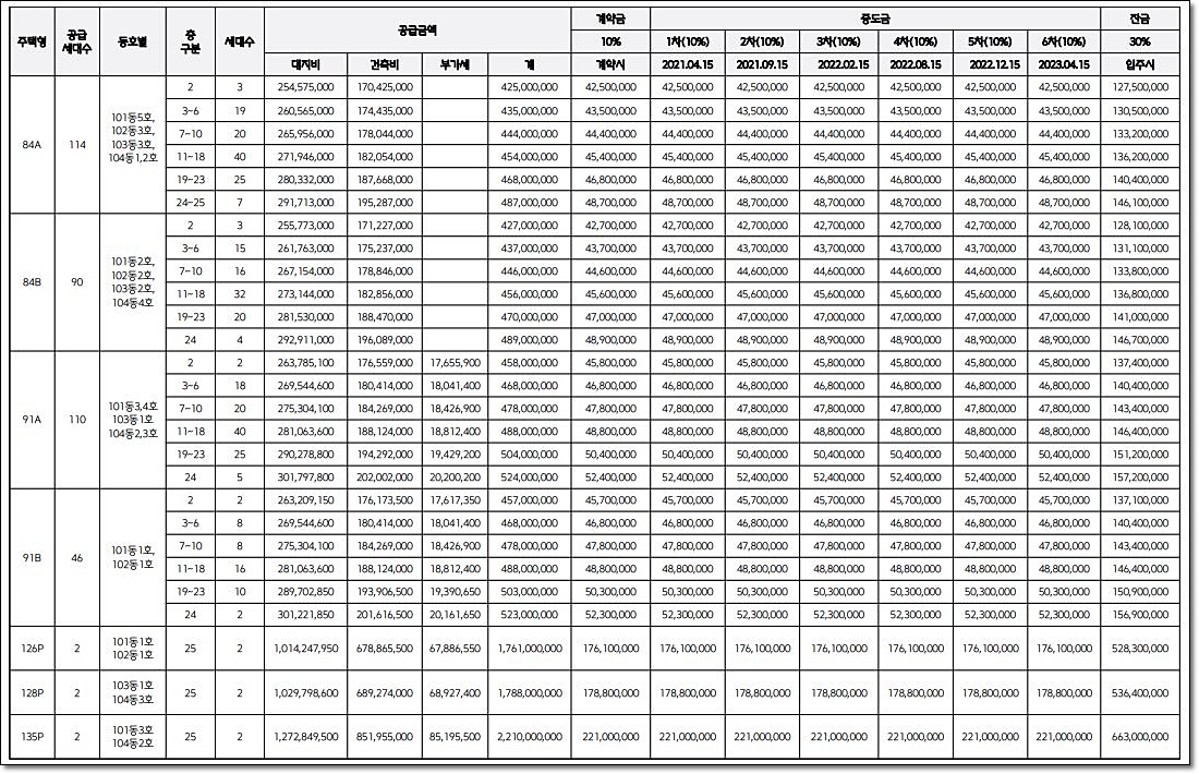
<고양 덕은 삼정그린코아 더베스트 분양가, 확장비, 에어컨, 중도금 대출이자 등 실제가격 안내>
* 84형 기준
분양가 4.9억원 + 확장비 400만원 + 에어컨 600만원 + 중도금대출이자 1500만원 = 실제가격 5.2억원






<고양 덕은 삼정그린코아 더베스트 입지 환경>

<고양 덕은 삼정그린코아 더베스트 단지 배치도>

<고양 덕은 삼정그린코아 더베스트 프리미엄>

<고양 덕은 삼정그린코아 더베스트 모델하우스>

고양 덕은 삼정그린코아 더베스트 | 청약 정보 | 센스뉴스
덕은 삼정 그린코아 더베스트 분양 일정 * 덕은 삼정 그린코아 더베스트 입주자 모집 공고 : 11월 20일 * 덕은 삼정 그린코아 더베스트 특별공급 : 11월 30일 * 덕은 삼정 그린코아 더베스트 1순위 청
fpac.tistory.com
종부세 계산기 | 종합부동산세 | 센스뉴스
부동산대책 발표이후에 종부세폭탄으로 종부세관심이 많아졌다. 이에 국세청 종부세 계산기 서비스가 생긴다는 기사가 나오기도 했다. 국세청에서 종부세 계산기를 만들어 국민에게 서비스 할
fpac.tistory.com
주택취득자금 조달 및 입주계획서 내려받기 | 센스스킬
2018년 부터 법이 개정되어 투기과열지구 지정된 곳에서 억원이 초과하는 부동산을 거래할 경우 주택취득자금 조달 및 입주계획서를 작성, 제출해야한다. 이전에도 작성했지만 증여, 상속, 담보
fpac.tistory.com
반응형'#sensnews > 부동산' 카테고리의 다른 글
망우역 신원아침도시 단비배치도, 평면도 | 분양 정보 | 센스뉴스 (0) 2020.11.30 망우역 신원아침도시 분양 안내 | 청약 정보 | 센스뉴스 (0) 2020.11.30 종부세 계산기로 종합부동산세 똑똑하게 대비하자 (0) 2020.11.25 판교 밸리자이 1순위 청약 | 청약 정보 | 센스뉴스 (0) 2020.11.24 고양 덕은 호반써밋DMC힐즈 A3 블럭 | 청약 정보 | 센스뉴스 (0) 2020.11.23