-
의정부 고산 수자인 디에스티지 분양 안내 및 평면도 청약 정보 총정리#sensnews/부동산 2021. 1. 15. 11:48반응형
의정부 고산 수자인 디에스티지 분양 안내 및 청약 정보 총정리

의정부 고산 수자인 디에스티지 핵심 분양 정보 안내
- 의정부 고산 수자인 디에스티지 중도금 대출 : 분양가의 50%
- 의정부 고산 수자인 디에스티지 전매제한 : 소유권 이전 등기시까지 전매제한
- 의정부 고산 수자인 디에스티지 계약금 : 10%
- 의정부 고산 수자인 디에스티지 85이하 : 가점제 100%
- 의정부 고산 수자인 디에스티지 85초과 : 가점제 30%, 추첨제 70%
- 의정부 고산 수자인 디에스티지 지역배분 : 의정부 1년이상 거주 30%, 경기도 20%, 수도권 50%
- 의정부 고산 수자인 디에스티지 입주 예정일 : 2023년 5월
의정부 고산 수자인 디에스티지 분양 일정 안내
- 의정부 고산 수자인 디에스티지 특별 공급 : 1월 18일
- 의정부 고산 수자인 디에스티지 1순위 청약 : 1월 19일
- 의정부 고산 수자인 디에스티지 당첨자 발표 : 1월 26일(C4), 27일(C3), 28일(C1)

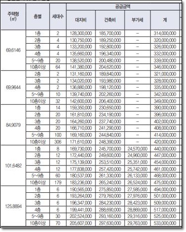
의정부 고산 수자인 디에스티지 분양 내역 안내
의정부 고산 수자인 디에스티지 C1 블록

의정부 고산 수자인 디에스티지 C3 블록

의정부 고산 수자인 디에스티지 C4 블록

의정부 고산 수자인 디에스티지 실제 가격 안내
- 84형 기준
- 분양가 4.2억원
- 확장비 430만원
- 에어컨 600만원
- 중도금 대출이자 1000만원
- 실제가격 4.4억원






의정부 고산 수자인 디에스티지 입지환경

의정부 고산 수자인 디에스티지 단지 및 동호수 배치도 안내
의정부 고산 수자인 디에스티지 C1 블록

의정부 고산 수자인 디에스티지 C3 블록

의정부 고산 수자인 디에스티지 C4 블록

의정부 고산 수자인 디에스티지 평면도 안내
의정부 고산 수자인 디에스티지 C1 블록


의정부 고산 수자인 디에스티지 C3 블록


의정부 고산 수자인 디에스티지 C4 블록





의정부 고산 수자인 디에스티지 모델하우스 및 현장 안내
반응형'#sensnews > 부동산' 카테고리의 다른 글
두산위브더제니스 센트럴 사하 무순위 잔여세대 추가 청약 정보 (0) 2021.01.20 송도 크리스탈 오션자이 분양 안내, 평면도 및 청약 정보 총정리 (0) 2021.01.18 한화 포레나 인천연수 분양 안내 및 평면도 청약 정보 총정리 (0) 2021.01.12 송도 더샵 마리나베이 분양 1순위 청약 정보 총정리 (0) 2021.01.08 e편한세상 부평 그랑힐스 입지환경 및 평면도 총정리 (0) 2021.01.08